复数的四种表示方法

既然一个复数z=x+yi可以表示一个点(x,y),自然地,我也就想,那么显然可以用复数来表示我们常见的一些曲线。 用复数表示的曲线,最简单的是圆。 方程|z|=1表示单位圆,很容易理解,这个方程用...

既然一个复数z=x+yi可以表示一个点(x,y),自然地,我也就想,那么显然可以用复数来表示我们常见的一些曲线。

用复数表示的曲线,最简单的是圆。

方程|z|=1表示单位圆,很容易理解,这个方程用x,y来表达就是

高中常见曲线的复数形式

显然,方程|z|=1更简洁,我喜欢。

我们在这个最简单方程基础上,继续往复杂处挖掘。

方程|z−1|=2表示什么曲线?

还是用上面的手法研究。

高中常见曲线的复数形式

哦,它表示以(1,0)为圆心,2为半径的圆。

我们有理由猜:

高中常见曲线的复数形式

高中常见曲线的复数形式

很显然,用复数表示圆的方程很简洁。

我们可以从另一个角度来看圆的方程。

高中常见曲线的复数形式

现在我们可以继续往复杂的图形上攻击了。

椭圆怎么表示?

椭圆的定义:到两个定点的距离之和为定值的点的轨迹。

高中常见曲线的复数形式

这就是椭圆的轨迹方程。

在我的角度看来,椭圆的复数形式方程,几何性质很清晰,却不及代数形式更漂亮。

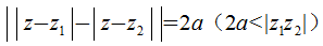
顺理成章,双曲线方程就可以表示成

高中常见曲线的复数形式

很容易,就是到两定点的距离之差的绝对值为定值

同样,在我看来,这个形式也是几何性质清晰,却不漂亮。

那么抛物线呢?很遗憾,用复数表达两点间的距离很方便,表示点到直线的距离却非常难,而抛物线的定义是:到定点的距离等于到定直线的距离。

好吧,按照我的习惯,先搞简单再搞复杂的,既然抛物线如此复杂,我们就不妨先放下吧。看看还有没有更简单的。

对了,直线还没有讨论呢。

直线有多种定义方式,最方便用复数来描述的形式,莫过于中垂线形式:到两定点距离相等的点的轨迹,是直线。

于是,直线的复数形式方程就可以简洁写成:

高中常见曲线的复数形式

方程简单固然简单了,却不符合我们高中生的习惯。我们的习惯定义是:经过两点确定一条直线。

设两点为P(x1 ,y1 ),Q(x2 ,y2 )则直线方程。。。。

哦,买,噶,不会复数形式啊,我只会写参数方程

高中常见曲线的复数形式

参数方程是高中课本教了的,我这里就不抄书了。

看着参数方程,我突然有个很棒的主意

高中常见曲线的复数形式

通过“硬算”,我们居然得到了一个很简洁的结论,比参数方程还简洁漂亮。

这是我一直推崇的“漂亮的数学”:原理简单,推导繁琐,结论好记。

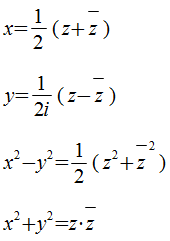
现在,我得到了有别于圆(依托距离概念)的思路,我们还可以直接将普通方程或者参数方程,通过计算转换成复数形式。

复数z和实数x,y的关系显然有以下:

高中常见曲线的复数形式

太棒了!现在可以解决最后一个问题,抛物线了。

高中常见曲线的复数形式

哈哈,完美!

我们还可以用同样的办法求直线的复数方程。

高中常见曲线的复数形式

完美,second!

小结:求曲线的复数方程思路有二。利用复数的几何性质,或者利用复数与实数的互相转化。

  • 发表于 2022-03-13 12:29
  • 阅读 ( 755 )
  • 分类:互联网

0 条评论

请先 登录 后评论
1980q
1980q

625 篇文章

你可能感兴趣的文章

相关问题